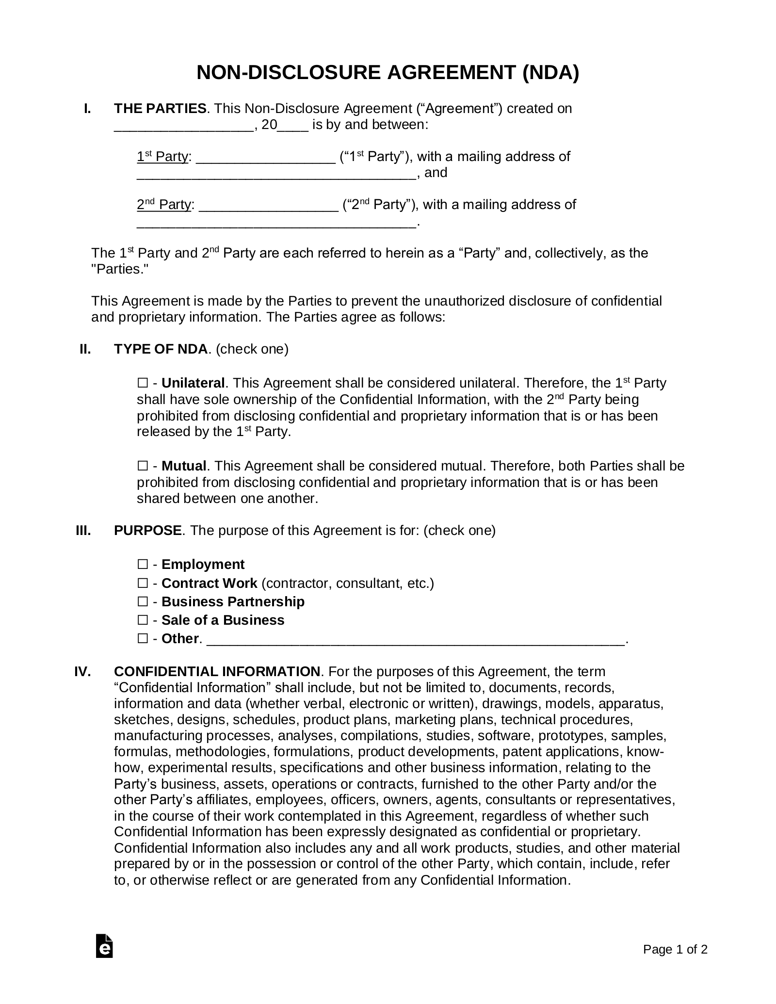
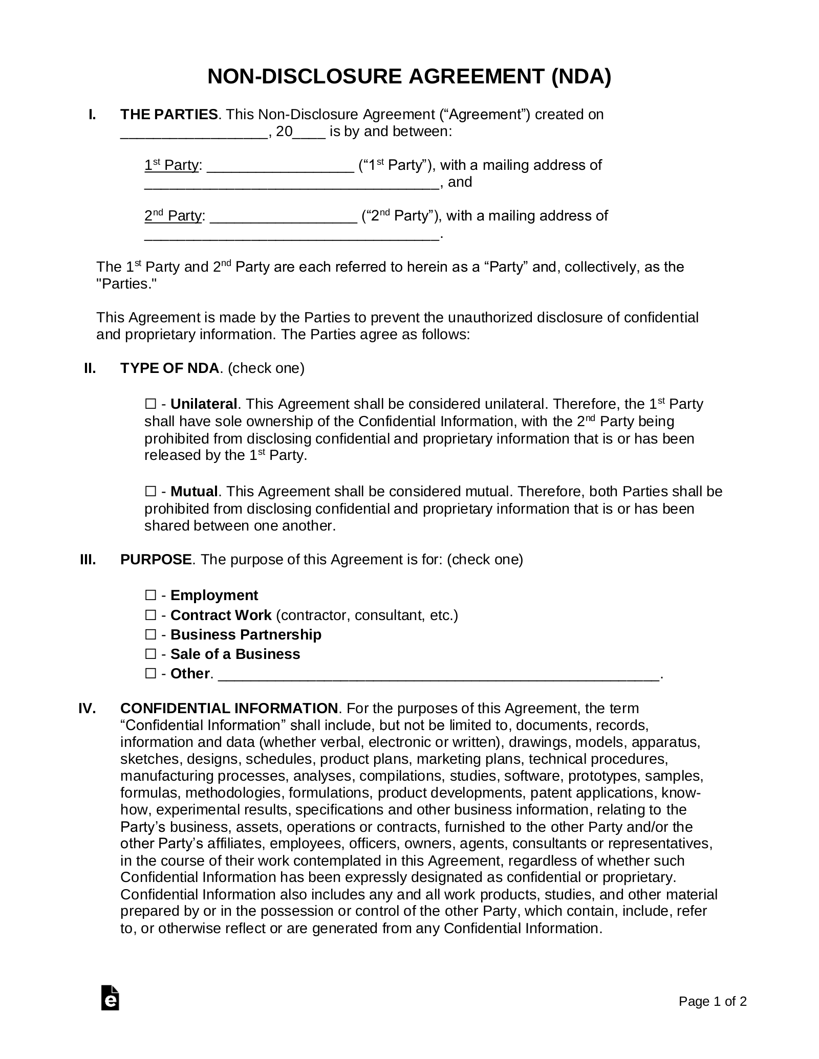
Are you in need of a free printable confidentiality agreement form? Look no further! We understand the importance of protecting sensitive information, which is why we offer a convenient solution for you.
Our free printable confidentiality agreement form is easy to use and customizable to fit your specific needs. Whether you’re a business owner, freelancer, or just looking to protect your personal information, this form is perfect for you.
free printable confidentiality agreement form
Protect Your Confidential Information with Our Free Printable Confidentiality Agreement Form
By using our free printable confidentiality agreement form, you can ensure that your sensitive information remains secure and protected. This form outlines the terms and conditions of confidentiality, giving you peace of mind knowing that your information is safe.
Simply fill out the form with the relevant details, including the parties involved, the information to be kept confidential, and the duration of confidentiality. Once completed, both parties can sign the agreement, creating a legally binding document.
Don’t wait until it’s too late to protect your confidential information. Download our free printable confidentiality agreement form today and safeguard your sensitive data with ease.
Take control of your confidentiality needs with our user-friendly and customizable form. Protect your information and maintain trust with our free printable confidentiality agreement form. Download now and rest easy knowing your data is secure.
60 Free Printable Non Disclosure Agreement Templates PDF
45 Free Confidentiality Agreement Templates NDA TemplateArchive
Including a free printable design offers a simple solution when it comes to staying organized and inspired. A go-to choice for boosting home organization. Because they’re adaptable, they’re perfect for small or large events. Whether part of a complete event setup, a instant download printable encourages creative expression. A thoughtful design today can bring years of enjoyment.
Free Non Disclosure Agreement NDA Templates 21 PDF Word EForms
Free Non Disclosure Agreement Template Document
Free Confidentiality Agreement Template PDF U0026 Word
Enjoying a downloadable crossword helps improve learning skills when it comes to strengthening spelling. A go-to choice for boosting language comprehension. Because they’re printable, you can share them with friends and family. Whether sent home as extra practice, a themed crossword puzzle encourages independent problem-solving with fun challenges. It’s a small resource with big impact.





