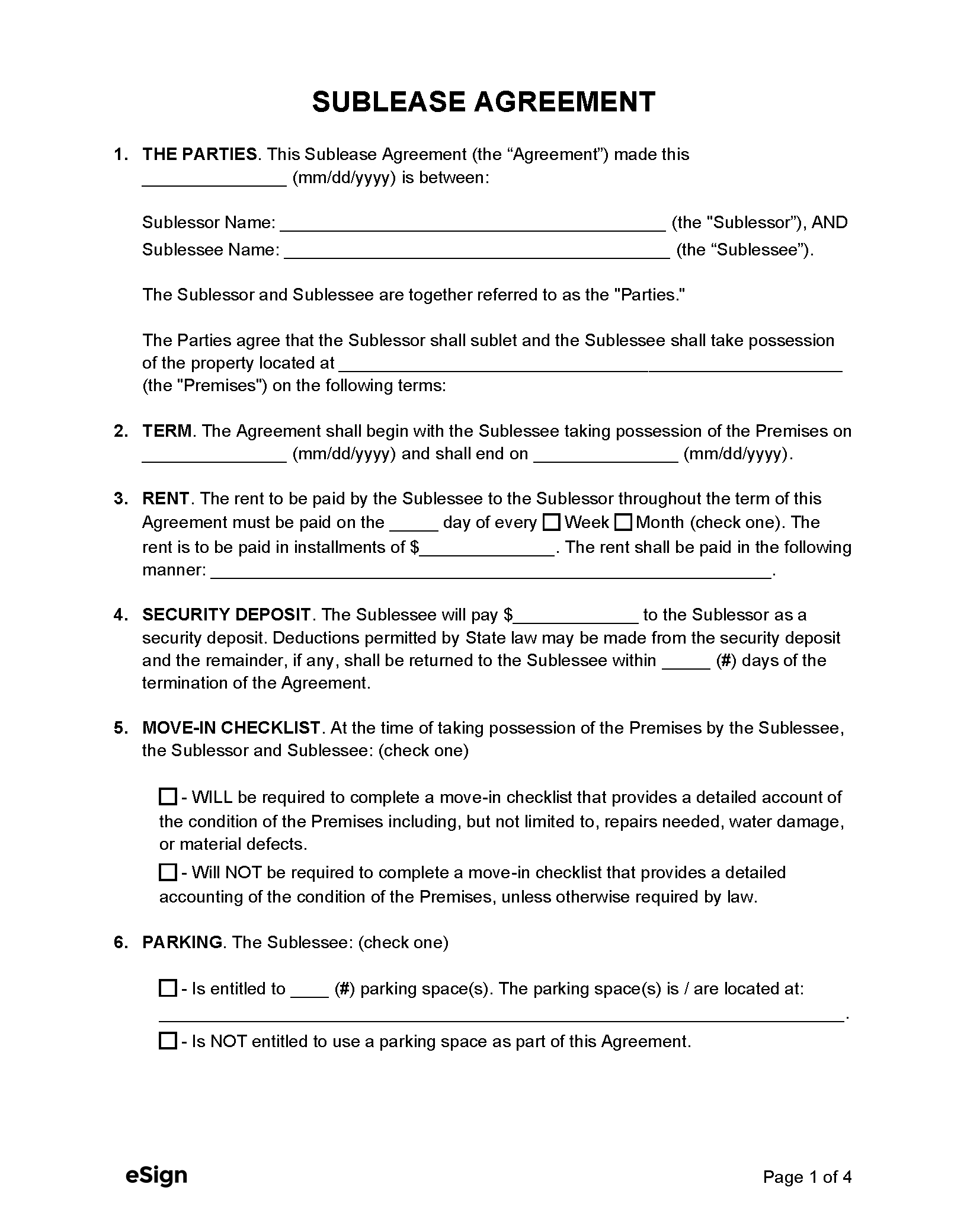
Looking for a free printable sublease agreement to make your renting process smoother? You’ve come to the right place! A sublease agreement is a contract between a tenant and a subtenant, outlining the terms of subletting a rental property.
It’s essential to have a sublease agreement in place to protect all parties involved and avoid any misunderstandings. Whether you’re the tenant subletting your space or the subtenant moving in, having a written agreement can help clarify responsibilities and expectations.
free printable sublease agreement
Free Printable Sublease Agreement: What to Include
When creating a sublease agreement, make sure to include details such as the names of all parties involved, the rental property’s address, the term of the sublease, the rent amount, and any rules or restrictions that need to be followed.
Additionally, it’s essential to outline the responsibilities of each party, such as who is responsible for utilities, maintenance, and repairs. Including these details in the agreement can help prevent conflicts and ensure a smooth subleasing process for everyone.
Before signing a sublease agreement, it’s crucial to review it carefully and ask any questions you may have. If you’re unsure about any terms or clauses, don’t hesitate to seek legal advice to ensure that your rights are protected.
By using a free printable sublease agreement template, you can easily create a legally binding document that outlines all the necessary details for a successful subleasing arrangement. Remember, clear communication and documentation are key to a positive renting experience for all parties involved.
So, next time you’re considering subleasing your rental property, make sure to have a free printable sublease agreement ready to go. It’s a small step that can make a big difference in ensuring a hassle-free subletting process for everyone!
35 Free Sublease Agreement Templates U0026 Forms Word PDF
35 Free Sublease Agreement Templates U0026 Forms Word PDF
Starting with a editable PDF printable is a proven method when it comes to creating unique handmade gifts. They’re great for enhancing aesthetic appeal. Since they’re easy to customize, you can integrate them with existing materials. Whether implemented in stages over time, a digital print design encourages creative expression. Creativity and print combined can redefine your projects.
Free Sublease Agreement Templates For Download
Free Sublease Agreement Template PDF Word
Free Sublease Agreement Template PDF Word
Using a printable crossword puzzle is a proven tool when it comes to enhancing problem-solving. A go-to choice for boosting logical reasoning. Because they require no special setup they’re flexible for all ages. Whether used during a coffee break, a brain-challenging printable crossword encourages independent problem-solving with fun challenges. A printable puzzle today can spark curiosity tomorrow.





