Planning for the future is important, especially when it comes to ensuring your loved ones are taken care of. One essential document you may need is a will and testament. Fortunately, you can find free printable will and testament templates online to help you get started.
Creating a will allows you to outline your wishes regarding your assets, property, and other important matters. While consulting with a legal professional is recommended, using a free printable will and testament template can be a good starting point to gather your thoughts and organize your wishes.
free printable will and testament
Free Printable Will and Testament Templates: Where to Find Them
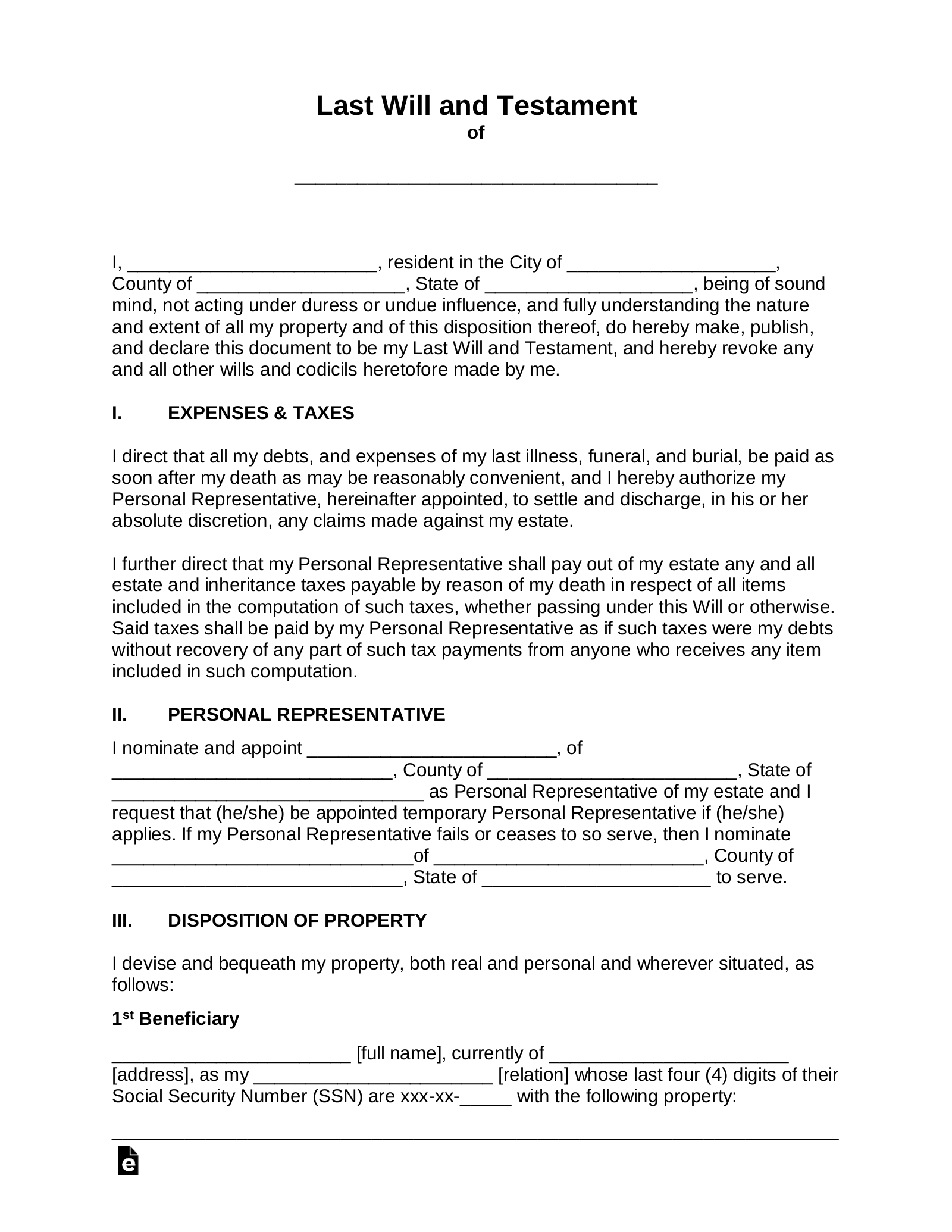
There are various websites that offer free printable will and testament templates that you can customize to suit your needs. These templates typically include sections for personal information, beneficiaries, assets, and guardianship if you have minor children.
When using a free printable will and testament template, it’s important to carefully review and fill out each section to ensure your wishes are accurately reflected. You can also consult with a lawyer to review your will and provide guidance on any legal implications.
Remember, a will is a living document that can be updated as your circumstances change. It’s essential to review and update your will periodically to reflect any changes in your life, such as marriage, divorce, or the birth of children.
By utilizing a free printable will and testament template, you can take the first step in planning for the future and ensuring your assets are distributed according to your wishes. Start creating your will today to provide peace of mind for yourself and your loved ones.
39 Last Will And Testament Forms U0026 Templates TemplateLab
39 Last Will And Testament Forms U0026 Templates TemplateLab
Using a custom printable file is an effective way when it comes to adding a personal touch to your projects. They’re ideal for bringing out crafting enjoyment. Being suitable for all skill levels, you can adjust them as needs change. Whether part of a complete event setup, a holiday printable set helps create a cohesive look. Even small projects can make a dramatic difference.
Free Printable Last Will And Testament Templates PDF Word
Free Last Will And Testament Template Templates 2 PDF Word
Free Last Will And Testament Will PDF Word EForms
Including a print-at-home crossword is a proven tool when it comes to developing lifelong learning habits. They’re ideal for daily work on language comprehension. Because they’re printable, they’re perfect for quiet moments. Whether used during a coffee break, a free crossword printable keeps the brain alert in an enjoyable way. These small puzzles can lead to big mental gains.





