Are you struggling to memorize organic chemistry functional groups? Look no further! Our printable flashcards are here to save the day. With these handy study tools, you’ll be acing your exams in no time.
Organic chemistry can be a tough subject, but breaking it down into manageable chunks with flashcards makes it a breeze. Whether you’re studying for a test or just refreshing your memory, our printable flashcards are the perfect solution.
organic chemistry functional groups flashcards printable
Mastering Organic Chemistry Functional Groups with Printable Flashcards
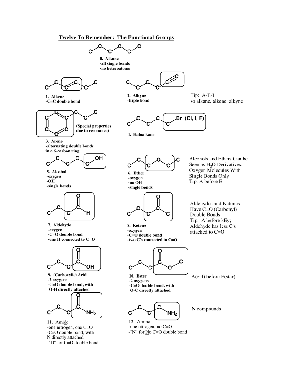
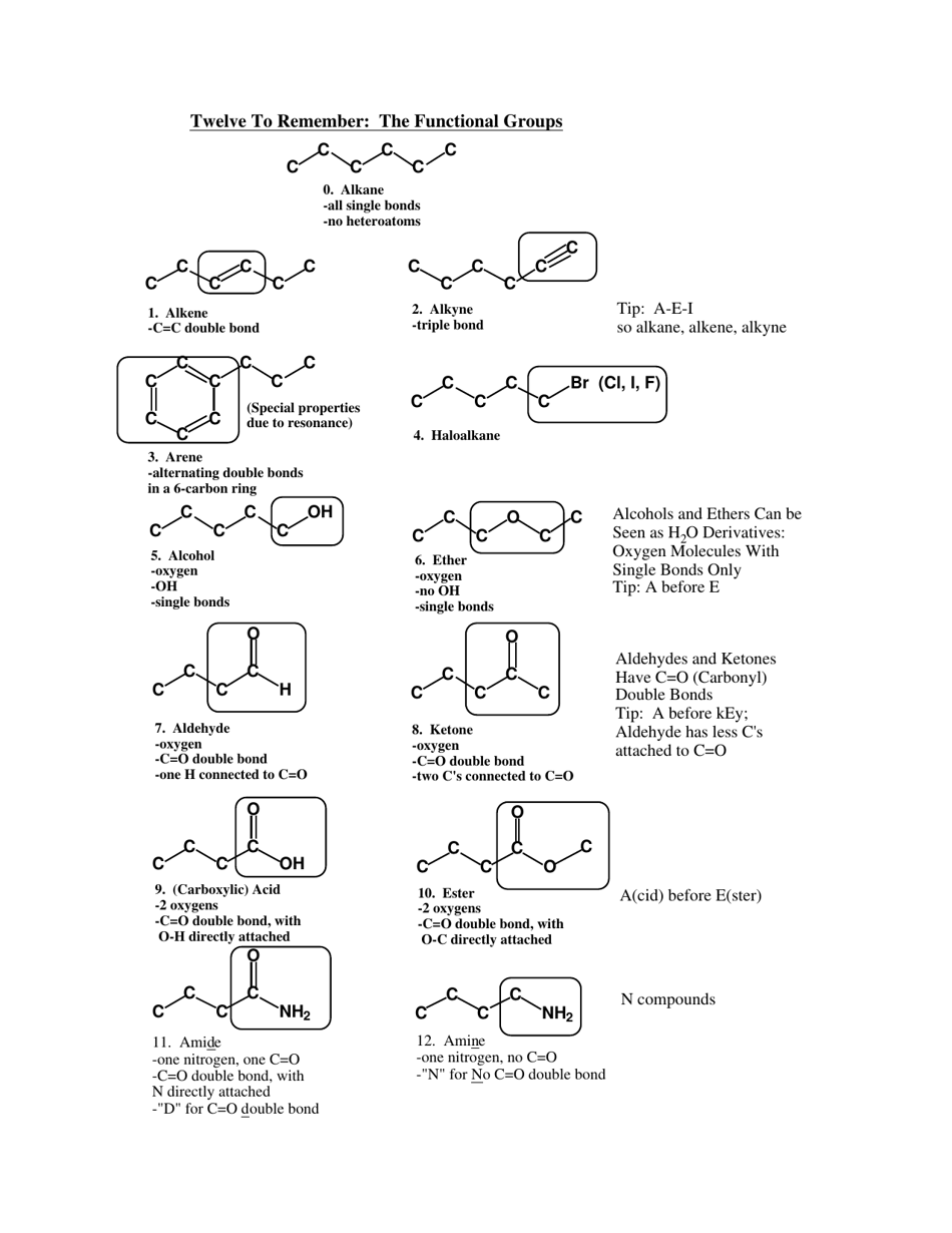
Our flashcards cover all the essential functional groups, from alkanes to carboxylic acids. Each card includes the structure, name, and key characteristics of the group, making it easy to remember and differentiate between them.
By using our printable flashcards regularly, you’ll reinforce your understanding of organic chemistry functional groups and boost your confidence in the subject. Say goodbye to late-night cram sessions and hello to stress-free studying!
Don’t let organic chemistry functional groups intimidate you any longer. With our printable flashcards, you’ll be well on your way to becoming a pro in no time. So why wait? Start printing and studying today to see the results for yourself!
Get ready to impress your professors and classmates with your newfound knowledge of organic chemistry functional groups. With our printable flashcards, you’ll be well-equipped to tackle any question that comes your way. Happy studying!
14 Functional Group Practice Worksheet Free PDF At Worksheeto
Amazon Functional Groups In Organic Chemistry Equastions
Creating a editable PDF printable can make a big difference when it comes to enhancing your event or celebration. These printable options are especially helpful for achieving home organization. Since they can be tailored to any occasion you can adjust them as needs change. Whether implemented in stages over time, a free printable design supports eco-friendly and paper-saving practices. One printable at a time, you can transform your space or event.
Functional Group Flashcards Printable Educational Tool For
Functional Group Flashcards Printable Educational Tool For
Functional Group Flashcards Printable Educational Tool For
Enjoying a brain-training printable puzzle boosts mental agility when it comes to keeping the mind active. They’re great for reinforcing logical reasoning. Being ready-to-print, you can integrate them into any routine. Whether used for friendly competitions, a downloadable crossword offers hours of entertainment and learning. A printable puzzle today can spark curiosity tomorrow.





