Pet Adoption Forms Printable

Thinking about adopting a furry friend? Look no further than pet adoption forms printable online! These forms make the adoption process easy and convenient for both you and your new pet.

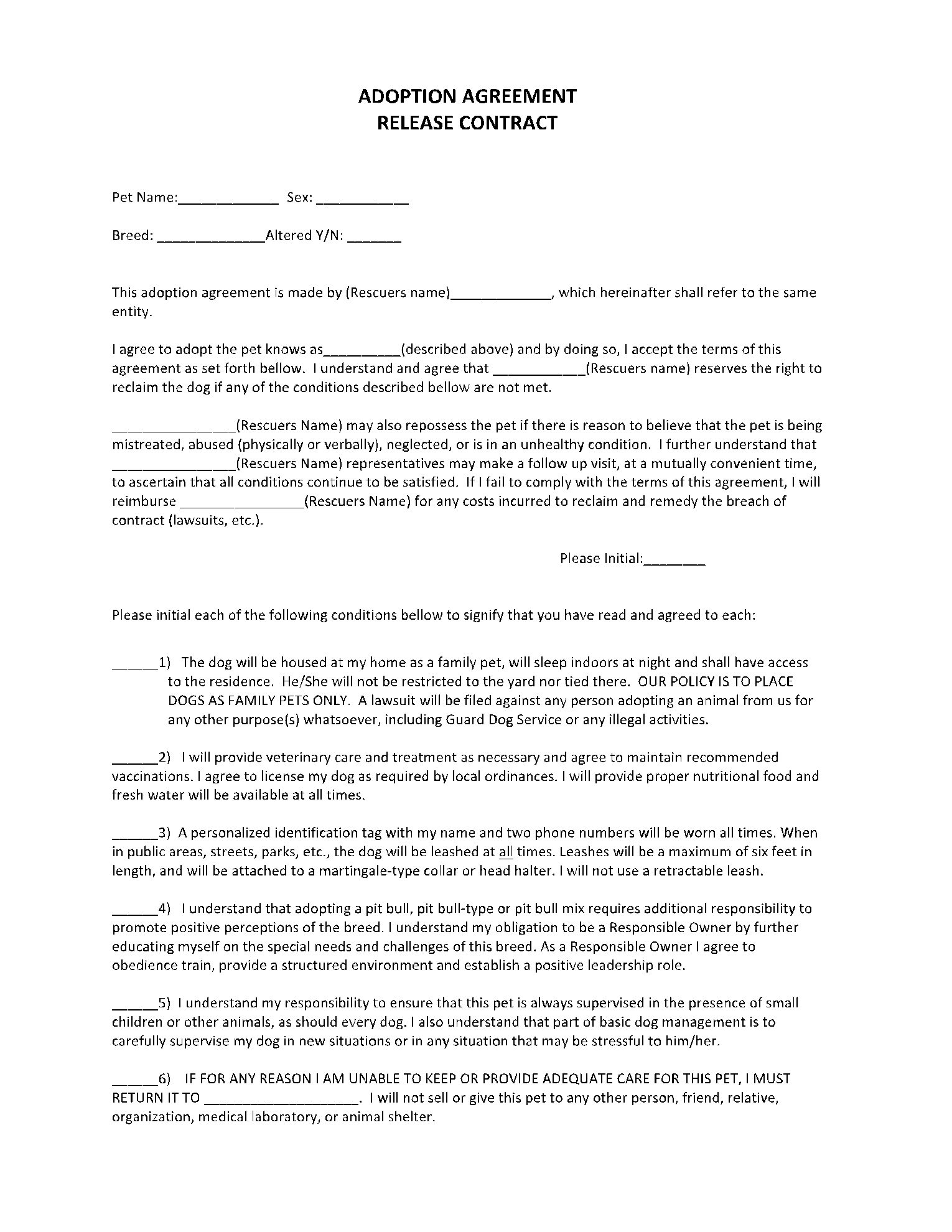
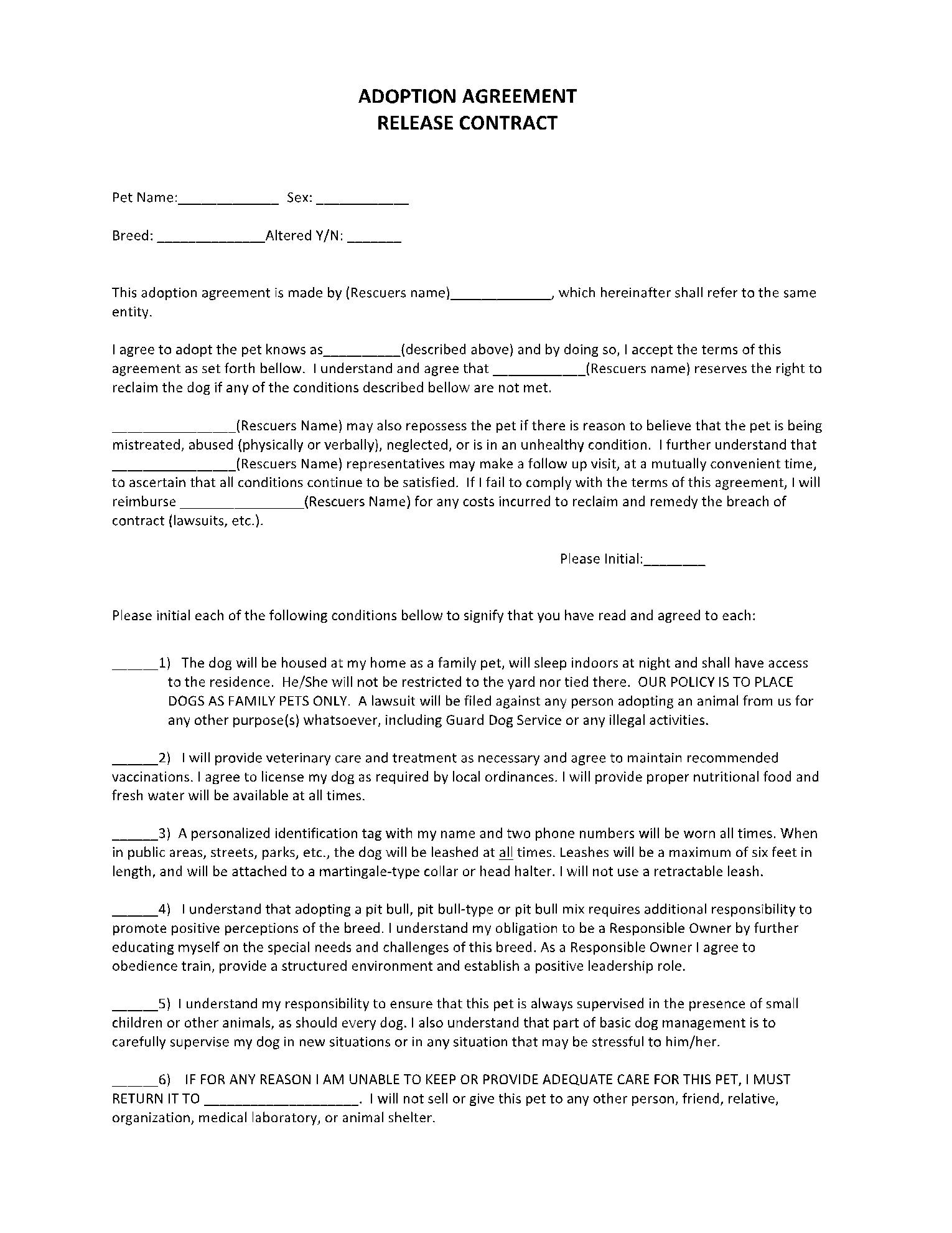
When you decide to adopt a pet, filling out the necessary paperwork is usually the first step. With pet adoption forms printable, you can easily access and complete the required documents from the comfort of your own home.

pet adoption forms printable

pet adoption forms printable

Where to Find Pet Adoption Forms Printable

Many animal shelters and rescue organizations offer printable adoption forms on their websites. Simply visit their site, download the forms, fill them out, and you’re one step closer to bringing home your new furry family member.

These forms typically include basic information about the pet you are interested in adopting, as well as questions about your living situation and experience with pets. By providing this information, shelters can ensure that their animals are going to loving and suitable homes.

Having the option to fill out pet adoption forms online saves you time and allows you to gather all the necessary information at your own pace. It’s a convenient way to start the adoption process without having to make multiple trips to the shelter.

So, if you’re ready to open your heart and home to a new pet, consider using pet adoption forms printable to streamline the process. With just a few clicks, you can be on your way to welcoming a furry friend into your family.

Don’t wait any longer – start the adoption process today and give a deserving pet a forever home!

See also  Printable Ice Cream Cone Template

Amazon Fun Express Dog Adoption Certificates Ideal For Dog Themed Parties Pet Adoption Events U0026 Animal Celebrations Perfect Dog Party Favors Supplies Keepsakes U0026 Fun Prizes 12 Pieces Office Products

Amazon Fun Express Dog Adoption Certificates Ideal For Dog Themed Parties Pet Adoption Events U0026 Animal Celebrations Perfect Dog Party Favors Supplies Keepsakes U0026 Fun Prizes 12 Pieces Office Products

Editable Pet Adoption Certificate Dog Certificate Adoption Sign Pet Adoption Printable Custom Adoption Certificate Etsy

Editable Pet Adoption Certificate Dog Certificate Adoption Sign Pet Adoption Printable Custom Adoption Certificate Etsy

Starting with a digital print design is a proven method when it comes to turning ideas into ready-to-use materials. These printable options are especially helpful for achieving crafting enjoyment. With flexible design options, they’re perfect for small or large events. Whether built into a long-term planner system, a instant download printable blends beauty with practicality. Every new design adds value and joy.

Pet Adoption Form Template Canada

Pet Adoption Form Template Canada

Free Pet Adoption Certificate Template Word Google Docs Highfile

Free Pet Adoption Certificate Template Word Google Docs Highfile

Printable Puppy Adoption Certificate Digital Download Birthday Party Certificate Adopt A Puppy Kids Party Poster Instant Download Etsy

Printable Puppy Adoption Certificate Digital Download Birthday Party Certificate Adopt A Puppy Kids Party Poster Instant Download Etsy

Making time for a fun word puzzle is a fun brain workout when it comes to improving vocabulary. Highly useful for enhancing memory skills. With instant printability, they’re perfect for quiet moments. Whether included in puzzle club meetings, a fun word puzzle can support both casual play and serious practice. Small activity, big learning payoff.