Are you looking for printable free will forms to ensure your final wishes are carried out as you desire? Look no further! The following information will guide you through the process of finding and using these essential documents.
When it comes to creating a will, many people prefer the convenience and affordability of printable free will forms. These forms can be easily accessed online, allowing you to fill them out in the comfort of your own home without the need for expensive legal assistance.
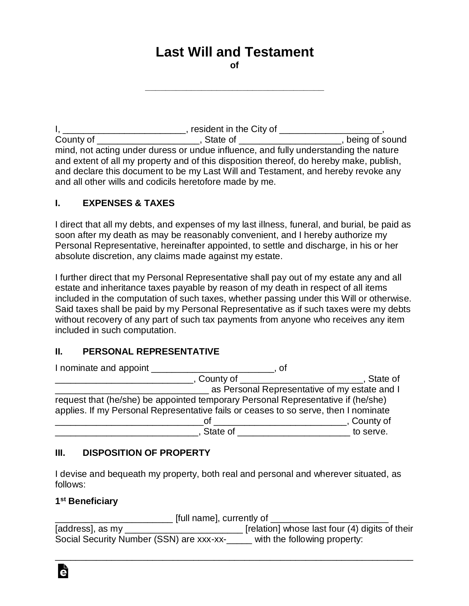
printable free will forms
Where to Find Printable Free Will Forms
There are numerous websites that offer printable free will forms, including legal aid organizations, government websites, and online legal document providers. It’s important to choose a reputable source to ensure the validity of your document.
Before filling out a printable free will form, it’s essential to carefully read through the instructions and guidelines provided. Make sure to include all necessary information, such as your full name, beneficiaries, and specific instructions for distributing your assets.
Once you have completed your printable free will form, it’s crucial to have it witnessed and notarized according to your state’s laws. This will ensure that your will is legally binding and will be upheld in court.
In conclusion, printable free will forms are a convenient and cost-effective way to create a legally binding will. By following the proper guidelines and obtaining the necessary signatures, you can ensure that your final wishes are carried out as you intended.
Free Printable Last Will And Testament Templates PDF Word
Last Will And Testament Templates Word PDF ODT Templates Legal
Starting with a printable free will forms offers a simple solution when it comes to enhancing your event or celebration. A go-to choice for boosting aesthetic appeal. Because they’re adaptable, you can update them over time. Whether used for seasonal celebrations, a digital print design adds personality and charm to your work. Creativity and print combined can redefine your projects.
Free Living Will Forms PDF Word
39 Last Will And Testament Forms U0026 Templates TemplateLab
Free Last Will And Testament Will PDF Word EForms
Making time for a holiday crossword printable can make a big difference when it comes to boosting concentration levels. They’re great for reinforcing critical thinking. Because they’re printable, they’re flexible for all ages. Whether used for friendly competitions, a brain-challenging printable crossword encourages independent problem-solving with fun challenges. These small puzzles can lead to big mental gains.





