Printable Power Of Attorney Form Nj

Planning for the future is important, and having a power of attorney document in place can provide peace of mind. If you’re in New Jersey and looking for a printable power of attorney form, we’ve got you covered!

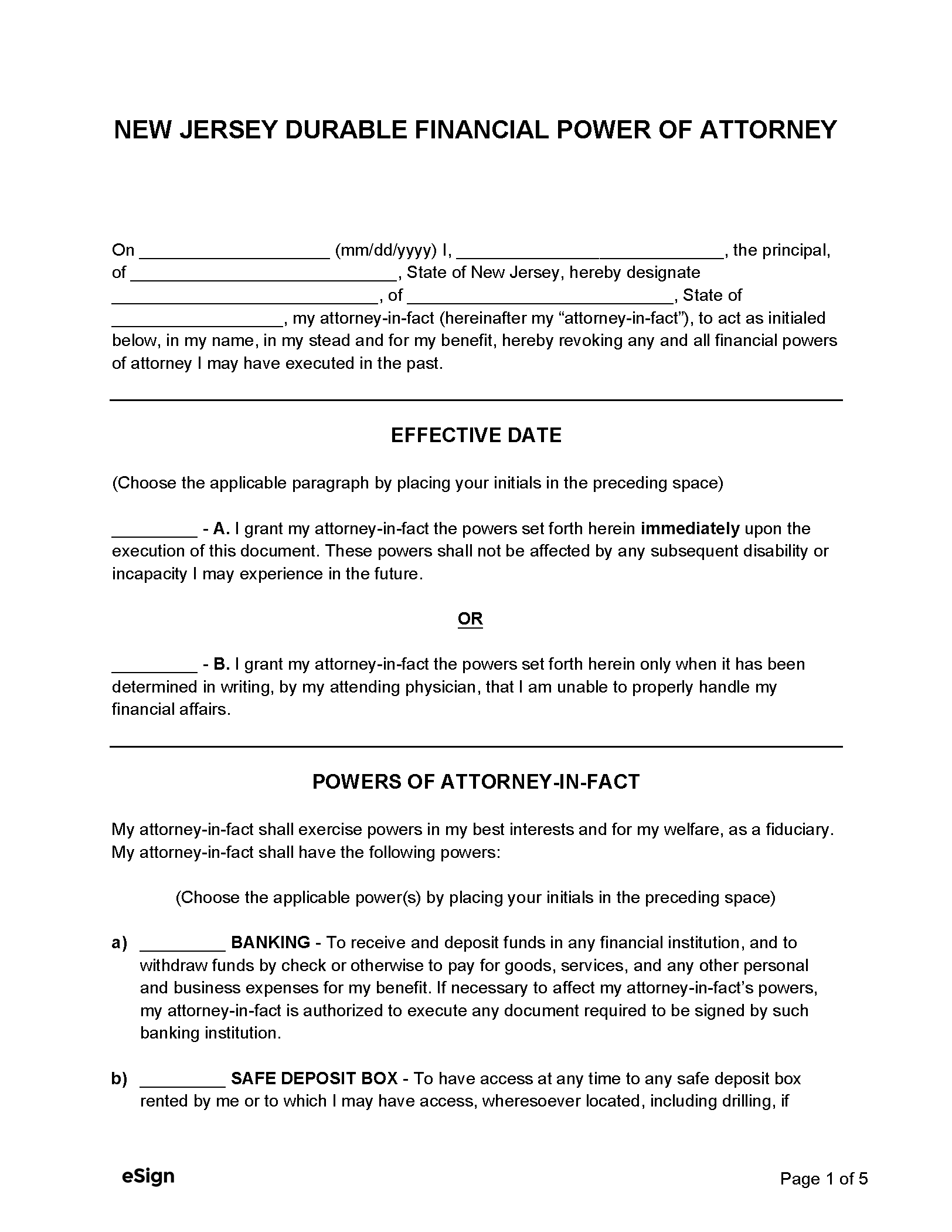
Whether you need a power of attorney for financial decisions, healthcare choices, or both, having a legally valid form is crucial. In New Jersey, the process of creating and signing a power of attorney form is straightforward.

printable power of attorney form nj

printable power of attorney form nj

Printable Power of Attorney Form NJ

Our printable power of attorney form for New Jersey is easy to use and customize to your specific needs. Simply download the form, fill in the necessary information, and have it signed by the appropriate parties.

It’s important to carefully consider who you appoint as your agent in the power of attorney form. This person will have the authority to make decisions on your behalf, so choose someone you trust and who understands your wishes.

Once you have completed and signed the power of attorney form, be sure to keep it in a safe place where it can be easily accessed when needed. Review the document periodically to ensure it still reflects your wishes and circumstances.

Having a power of attorney form in place can help ensure that your affairs are handled according to your wishes in the event you are unable to make decisions for yourself. Take the time to create this important document and have peace of mind for the future.

Download our printable power of attorney form for New Jersey today and take the first step in planning for tomorrow.

See also  Free Printable November 2018

Free New Jersey Power Of Attorney Make U0026 Download Rocket Lawyer

Free New Jersey Power Of Attorney Make U0026 Download Rocket Lawyer

New Jersey Durable Power Of Attorney Forms CocoSign

New Jersey Durable Power Of Attorney Forms CocoSign

Adding a home printing project offers a simple solution when it comes to creating unique handmade gifts. They’re great for enhancing home organization. Since they can be tailored to any occasion you can adjust them as needs change. Whether implemented in stages over time, a planner printable supports eco-friendly and paper-saving practices. Creativity and print combined can redefine your projects.

Free New Jersey NJ Power Of Attorney Forms U0026 Templates PDF

Free New Jersey NJ Power Of Attorney Forms U0026 Templates PDF

Free New Jersey Durable Power Of Attorney Form PDF Word

Free New Jersey Durable Power Of Attorney Form PDF Word

Free New Jersey Power Of Attorney Forms 9 Types PDF Word EForms

Free New Jersey Power Of Attorney Forms 9 Types PDF Word EForms

Including a kids printable crossword helps improve learning skills when it comes to keeping the mind active. Perfect for improving pattern recognition. Because they’re printable, you can adapt them for different skill levels. Whether sent home as extra practice, a crossword activity sheet keeps minds active without added stress. These small puzzles can lead to big mental gains.