Free Printable Subcontractor Agreement

November 3, 2025

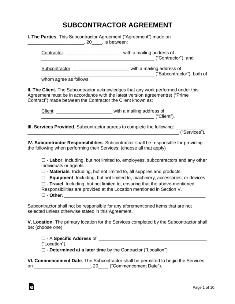
Free Subcontractor Agreement Templates PDF Word EForms
Looking for a free printable subcontractor agreement for your next project? You’re in luck! We have just what you need to get started on the right foot. Creating a solid agreement is crucial to ensure smooth collaboration and protect your interests. Our free printable subcontractor agreement template is easy to use and customizable to fit your specific needs. Whether you’re...
Read more

Free Printable Independent Contractor Agreement

July 6, 2025

Independent Contractor Agreement PDF Word
Are you in need of a free printable independent contractor agreement? Look no further! Creating a solid contract is essential for any business relationship, especially when working with independent contractors. With our free printable template, you can easily outline the terms and conditions of your agreement, including payment details, project scope, deadlines, and more. Using a written contract helps protect...
Read more